• Предмет: Алгебра
  • Автор: NelliVol26
  • Вопрос задан 8 лет назад

пожалуйста, срочно!!!

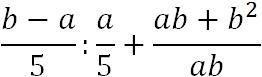
Упростите и вычислите при b = 1,4 и a = -0,7

Приложения:

Ответы

Ответ дал: maha3306
0

(B-a)/5 * 5/a + (ab+b^2)/ab

(B-a)/a + (ab+b^2)/ab

B(b-a)/ab + (ab+b^2)/ab

(B^2 - ba + ba + b^2)/ab

2b^2/ab

2b/a

2*1.4 / -0.7 = -4

Вас заинтересует