Ответы
Задание три. Я это понял

Объяснение:
1.
x²/(2x+3)²-3*x/(2x+3)+2=0 ОДЗ: 2х+3≠0 2x≠-3 x≠1,5.
(x/(2x+3)²-3*(x/(2x+3)+2=0
Пусть x/(2x+3)=t ⇒
t²-3t+2=0 D=1
t₁=x/(2x+3)=1 x=2x+3 x₁=-3.
t₂=x/(2x+3)=2 x=2*(2x+3) x=4x+6 3x=-6 x=-2.
Ответ: x₁=-3 x₂=-2.
2.
Пусть количество деталей, которые изготавливал ежедневно первый рабочий - х. ⇒ количество деталей, которые изготавливал ежедневно второй рабочий - (х-5).
100/(x-5)-100/x=1
100*x-100*(x-5)=1*x*(x-5)
100x-100x+500=x²-5x
x²-5x-500=0 D=2025 √D=45
x₁=25 x₁=-20 ∉
Ответ: 25 деталей изготавливал ежедневно первый рабочий.
3.
x²+(1-3a)*x+2a²-2=0
D=((1-3a)²-4*(2a²-2))=(1-6a+9a²-8a²+8)=(a²-6a+9)=(a-3)².
D<0 ⇒ нет решения.
D=0 ⇒ (a-3)²=0 a-3=0 a=3 - одно решение.
D>0 ⇒ (a-3)²>0 ⇒ a∈(-∞;3)U(3;+∞) - два решения.
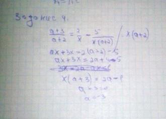
4.
(a+3)/(a+2)=2/x-5/(x*(a+2))
(a+3)*x=2*(a+2)-5
x*(a+3)=2a+4-5
x*(a+3)=2a-1
x=(2a-1)/(a+3).
Ответ: x=(2a-1)/(a+3).
