• Предмет: Математика
  • Автор: papi292
  • Вопрос задан 8 лет назад

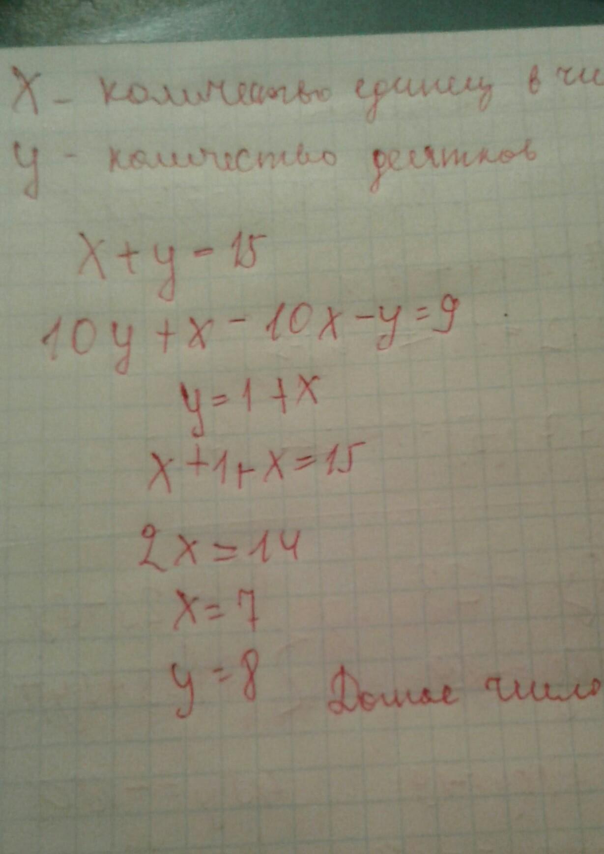
3. Сумма цифр двузначного числа равна 15. Если поменять его цифры местами, то получим число, которое меньше данного на 9. Найдите данное число.

Ответы

Ответ дал: nina418
0

извените за корявый почерк) даное число 87 немного не влезло

Приложения:
Ответ дал: papi292
0
Спасибо❤️❤️❤️!
Ответ дал: ersik07
0
спс братишка
Ответ дал: Reinan
0
можете сказать откуда 10 брали, просто не понял;^;"
Ответ дал: tunicg
0
скажите почему ответ 87?
Ответ дал: tunicg
0
там же 8 и 7
Вас заинтересует