• Предмет: Алгебра
  • Автор: АндрейЙ4
  • Вопрос задан 8 лет назад

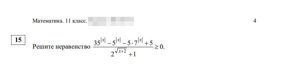
Помогите грамотно расписать решение 15 задание из ЕГЭ, заранее благодарю!

Приложения:

Ответы

Ответ дал: necodancer
0

низ всегда подожительный, влияет только одз

x+2>0

чисдитель группируешь разложив 35 на 7×5, каждое в степени |x|, вынося 7^|x| за скобку получаешь

буду по а писать вместо степени модуля

7^а(5^а-5) - (5^а-5)

(7^а-1)(5^(а-1)-1)>=0

далее решаешь |х|>=0

и |х|-1>=0.

затем рисуешь ось с Х где точка 0 допустимая закрашенная. И -1 И 1 тоде закрашенные.

снизу формулы из неравенств с модулями.

проставляешь знаки в областях от -8(это бесконечность) до - 1 от -1 до 0 от 0 до 1 и больше 1, напротив наждого неравенства с модулем под осью,

ну и где получается + и + там значит больше 0 будет числитель, записываешь области включа концы.

ааа

еще одз наносишь можно сразу, от минус двух нарисовать область и выколоть точку,

ну и пишешь потом (-2;-1]+[0] +[1 ;+8), ноль включаем потому что и там одна скобка равна 0!

и до бесконечности , а не восьми!

Ответ дал: necodancer
0
запятые не там, где надо×_×
Ответ дал: necodancer
0
да, тут модуль вырожденный какой-то, то есть его раскрытие не влияет на одз начальное и совпадает с знаковыми изменениями степенных выражений.
Ответ дал: necodancer
0
здесь можно конечно интервалами рассмотреть, но так дольше мне кажется
Ответ дал: necodancer
0
в любом случае сначала проще упростить до скобок, так как на одз это не влияет
Ответ дал: necodancer
0
короче я проскочил этот момент 7^|х|-7>=0, 7^|х|>=7, |х|>=0, и с другой скобкой тоже
Вас заинтересует