• Предмет: Информатика
  • Автор: vitalyazartsov
  • Вопрос задан 8 лет назад

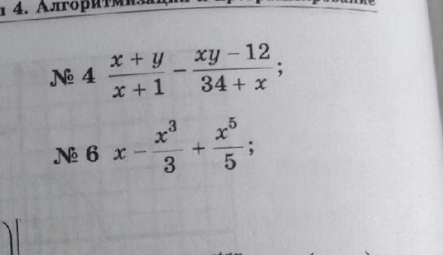
Решите номер 4 в pascal ABC пожалуйста

Приложения:

Ответы

Ответ дал: Вованичикчка
0

var answer: real;

x, y: integer;

begin

write('Введите x: ');

readln(x);

write('Введите y: ');

readln(y);

answer:=(x+y)/(x+1) - (x*y-12)/(34+x);

writeln(answer);

end.

Ответ дал: vitalyazartsov
0
Спасибо,это правильно?
Ответ дал: Вованичикчка
0
Нет, я всегда пишу неправильные ответы (шутка)
Вас заинтересует