• Предмет: Алгебра
  • Автор: navirpivet
  • Вопрос задан 8 лет назад

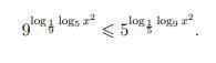
Логарифмическое неравенство

Приложения:

Ответы

Ответ дал: m11m
0

Ответ:

Объяснение:

!!!!!!!!!!!!!!!!!!!!!!!!!!!!!!!

Приложения:
Вас заинтересует