• Предмет: Алгебра
  • Автор: Лис489
  • Вопрос задан 8 лет назад

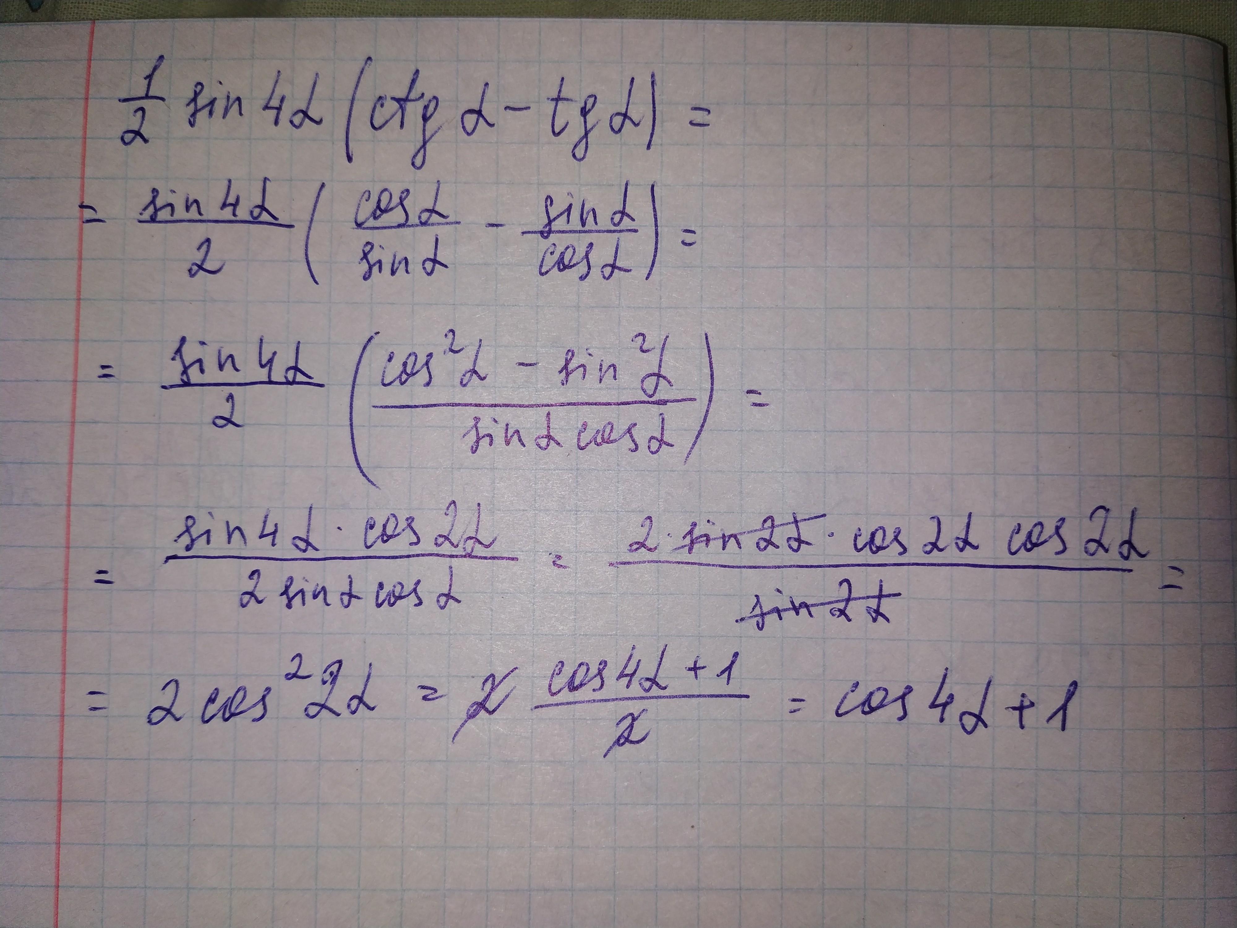
Помогите, пожалуйста, доказать тождество

cos4α+1=1/2sin4α(ctgα-tgα)

Ответы

Ответ дал: Pikaminol
0

cos2α = cos²α - sin²α = 2cos²α-1

sin2α = 2sinαcosα

Решение во вложении

Приложения:
Вас заинтересует