• Предмет: Математика
  • Автор: Ania5555
  • Вопрос задан 8 лет назад

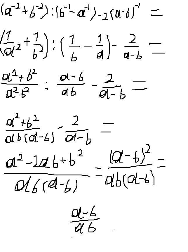
Упростить выражение, пожалуйста помогите

Приложения:

Ответы

Ответ дал: Pogooglyluzshe
0

Ответ: (а-б)/(аб)

Пошаговое объяснение:

Приложения:
Вас заинтересует