• Предмет: Алгебра
  • Автор: aleksandrabelous1
  • Вопрос задан 8 лет назад

Срочно!!?! Пожалуйста!! 10 балов даю за одну систему

Приложения:

Ответы

Ответ дал: valenivan
0

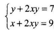
От (2) отнимаем (1),

х-у=2, отсюда у=х-2, подставим во (2),

х+2х(х-2)=9

2х^2-3х-9=0

D=9+4*9*2=81

x=(3+9)/4=3, у =1

x=(3-9)/4=-1,5, у=-3,5

Ответ :(3; 1), (-1,5; - 3,5)

Ответ дал: aleksandrabelous1
0
Спасибо
Вас заинтересует