• Предмет: Алгебра
  • Автор: vertu345
  • Вопрос задан 8 лет назад

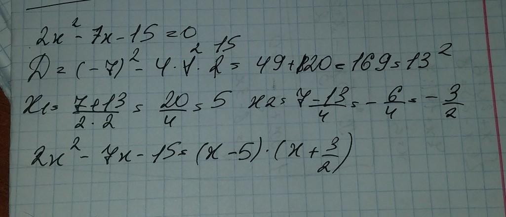
Разложите квадратный трёхчлен 2x^2-7x-15 на множители

Ответы

Ответ дал: prlkomn
0

находишь корни через дискриминант, затем в формулу (х-х1)*(х-х2) подставляешь

Приложения:
Ответ дал: 7x8
0
=2(x-5)(x+3/2)
Вас заинтересует