• Предмет: Алгебра
  • Автор: vertu345
  • Вопрос задан 8 лет назад

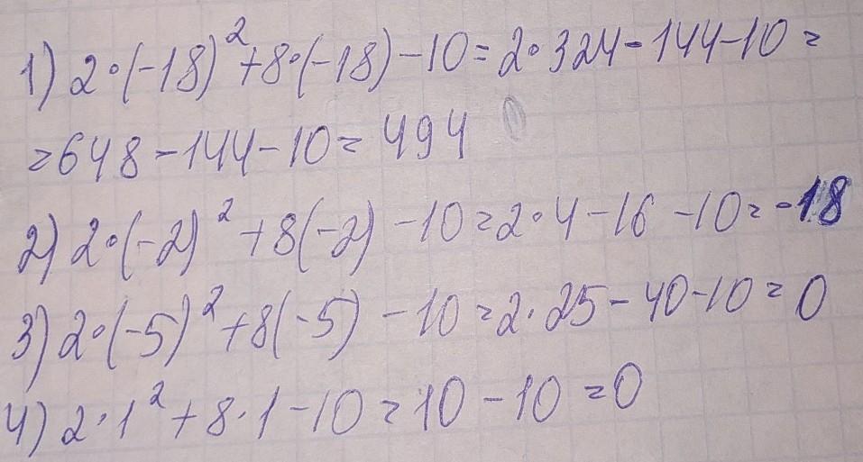
При каком значении трёхчлен 2x^2+8x-10 имеет наименьшее значение? Варианты ответа: -18; -2; -5;1

Ответы

Ответ дал: name20name
0

............-2=х...........

Приложения:
Вас заинтересует