• Предмет: Математика
  • Автор: vokerman
  • Вопрос задан 8 лет назад

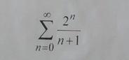
Исследовать ряд на сходимость при признаку даламбера

Приложения:

Ответы

Ответ дал: moboqe
0

Ответ:

Ряд расходится

Пошаговое объяснение:

Приложения:
Вас заинтересует