• Предмет: Алгебра
  • Автор: a5ttt
  • Вопрос задан 8 лет назад

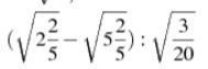
Помогите пожалуйста решить выражение!

Приложения:

Ответы

Ответ дал: сок111213
0

( sqrt{2 frac{2}{5} }  -  sqrt{5 frac{2}{5} } ) div  sqrt{ frac{3}{20} }  = ( sqrt{ frac{12}{5}  }  -  sqrt{ frac{27}{5} } ) div  sqrt{ frac{3}{20} }  =  \  =  frac{ sqrt{ frac{12}{5} } -  sqrt{ frac{27}{5} }  }{ sqrt{ frac{3}{20} } }  =  frac{( sqrt{ frac{12}{5}  }  -  sqrt{ frac{27}{5} }) times  sqrt{20}  }{ sqrt{3} }  = frac{( sqrt{ frac{12}{5}  }  -  sqrt{ frac{27}{5} }) times  2sqrt{5}  }{ sqrt{3} }  =  \  =  frac{2 sqrt{ frac{60}{5} }  - 2 sqrt{ frac{135}{5} } }{ sqrt{3} }  =  frac{2 sqrt{12}  - 2 sqrt{27} }{ sqrt{3} }  =  frac{4 sqrt{3}  - 6 sqrt{3} }{ sqrt{3} }  =  frac{ - 2 sqrt{3} }{ sqrt{3} }  =  - 2

Вас заинтересует