• Предмет: Алгебра
  • Автор: stalnoikoroltyt
  • Вопрос задан 8 лет назад

разложите на множители многочлен​

Приложения:

Ответы

Ответ дал: sangers1959
0

Ответ:

Объяснение:

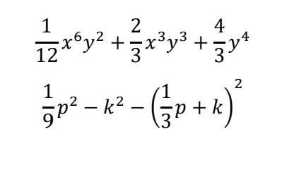
(1/12)/x⁶y²+(2/3)*x³y³+(4/3)*y⁴=

=(√(1/12)*x³y)²+2*(√(1/12)*x³y*(√4/3)*y²)+(√(4/3)*y²)²=(√(1/12)*x³y+√(4/3)*y²)²

(1/9)*p²-k²-((1/3)*p+k)²=((1/9)*p²-k²-(1/9)*p²-(2/3)*kp-k²=

=-2k²-(2/3)*kp=-2k*(k+p/3).

Вас заинтересует