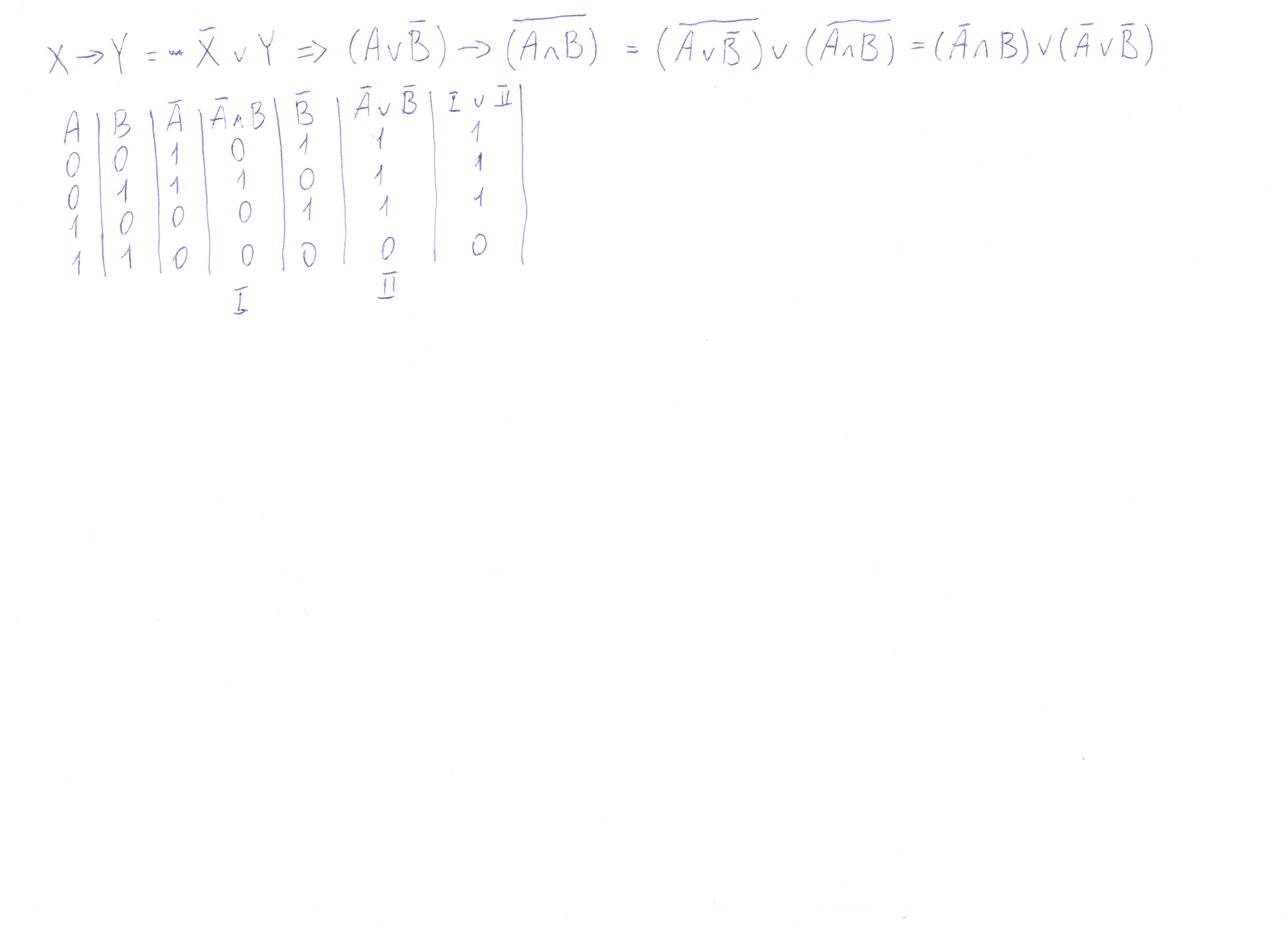
(Мат.Логика) Помогите с 6, пожалуйста! Составьте таблицу истинности. Определите ее вид.
Приложения:
Ответы
Ответ дал:
0
.........................................
Приложения:
Ответ дал:
0
Поможете https://znanija.com/task/32328226 ?
Ответ дал:
0
Ответ:
В изображении
Объяснение:
Там же.
Приложения:
Вас заинтересует
2 года назад
3 года назад
3 года назад
9 лет назад
9 лет назад
10 лет назад
10 лет назад