• Предмет: Математика
  • Автор: liza09920
  • Вопрос задан 8 лет назад

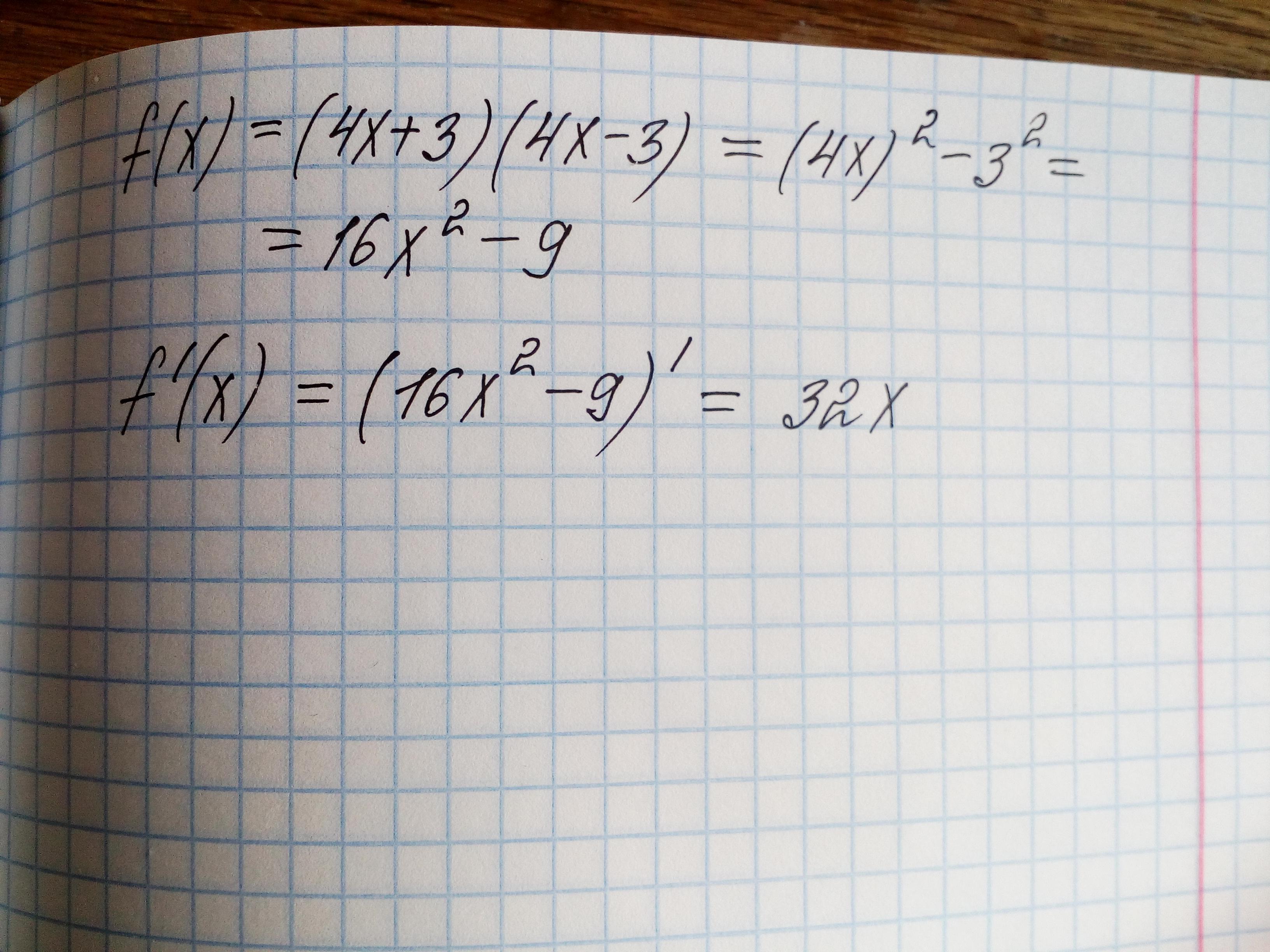
найдите производную Функции f(x)=(4x+3)(4x-3)
ответ должен быть 32х
решение пожалуйста срочно!!!!​

Ответы

Ответ дал: m11m
0

Ответ:

Пошаговое объяснение:

!!!!!!!!!!!!!!!!!!!!!!!!!!!!

Приложения:
Вас заинтересует