• Предмет: Математика
  • Автор: olgalelishna6
  • Вопрос задан 8 лет назад

Интеграл вычислить точно по формуле Ньютона-Лейбница и приближенно по формуле прямоугольников. Отрезок интегрирования разбить на 10 частей. Все вычисления проводить, сохраняя четыре знака после запятой. Приближенное значение интеграла округлить до третьего десятичного знака. Найти абсолютную и относительную погрешность результата вычислений.

Приложения:

Ответы

Ответ дал: moboqe
0

Абсолютная погрешность - разность между приближенным числом и его точным значением.

Относительная погрешность - отношение абсолютной погрешности приближенного числа к самому этому числу.

Приложения:
Ответ дал: xxxeol
0

Пошаговое объяснение:

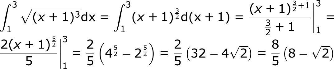
1. Точный расчет по формуле Ньютона-Лейбница.

Интеграл - площадь под графиком функции вычисляем по формуле:

F(x)=intlimits sqrt{(x+1)^3}}, dx=frac{2}{5}sqrt{(x+1)^5} +C

Вычисляем на границах интегрирования.

F(3) = 64/5,    F(1) = 8/5*√2.

И сам определенный интеграл:

F = F(3) - F(1) = (64-8√2)/5 = 10.5373 - точное значение - ответ.

2. Приближенное вычисление по формулам прямоугольников.

Площадь фигуры разбивается на прямоугольники ширина которых зависит от числа точек расчёта - h = (b-a)/n, а высота равна значению функции.

Если за высоту брать значение с левой стороны отрезка получим формулу левых прямоугольников:

Fлев ≈ (b -a)/n*[f(x₀)+f(x₁)+...+f(xₙ-₁)] - и результат будет меньше точного значения.

Fправ ≈ (b -a)/n*[f(x₁)+f(x₂)+...+f(xₙ)] - больше точного значения.

Расчет и схема расчета приведена в приложении.

Для n = 10, получаем значение h = (3-1)/10 = 0.2.

Получили два значения интеграла:

Fлев = 10,023 и  Fправ = 11,057.

Абсолютную погрешность вычисления находим по формуле:

Δ = (Fлев  - F) = 10.023 - 10.5373 = - 0.514 и

Δ = (Fправ  - F) = 11.057 - 10.5373 =  0.520

Абсолютная погрешность Δ = ± 0,52 - ответ.

Относительная погрешность вычисляется в процентах:

δ = Δ/F =  0,52 : 10,5373 = 0.05 = 5% - относительная погрешность - ответ.

Приложения:
Ответ дал: olgalelishna6
0
большое спасибо Алексей!
Вас заинтересует