• Предмет: Алгебра
  • Автор: saschagalchin
  • Вопрос задан 8 лет назад

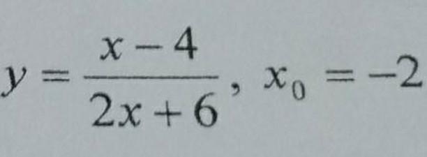
Найти значение производной в точке Х0

Приложения:

Ответы

Ответ дал: sangers1959
0

Ответ:

Объяснение:

y=(x-4)/(2x+6)

y'=((x-4)/(2x+6))'=((x-4)'*(2x+6)-(x-4)*(2x+6)')/(2x+6)²=

=(2x+6-(x-4)*2)/(2x+6)²=

=(2x+6-2x+8)/(2x+6)²=14/(2x+6)²=14/(2*(-2)+6)²=14/(-4+6)²=14/2²=14/4=3,5.

Вас заинтересует