• Предмет: Математика
  • Автор: 111ЛИЗА1111
  • Вопрос задан 8 лет назад

Крик души, умоляю помогите решить производную, задача2

Приложения:

Ответы

Ответ дал: vavdovina55
0

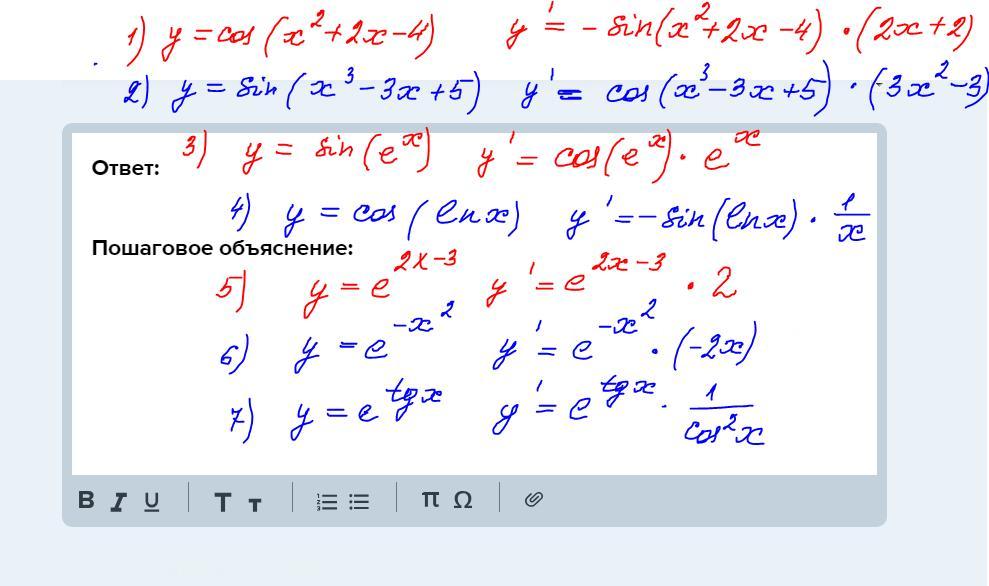
Ответ:

Пошаговое объяснение:

Приложения:
Ответ дал: 111ЛИЗА1111
0
Господи,храни господь таких людей,
спасибо большое!!!
Ответ дал: 111ЛИЗА1111
0
А остальное не поможете?:)
Ответ дал: vavdovina55
0
сейчас уже, наверное, не надо?
Вас заинтересует