• Предмет: Математика
  • Автор: MrHackFan
  • Вопрос задан 8 лет назад

Помогите пожалуйста,я не понял тему(
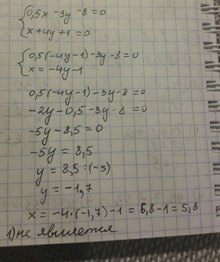
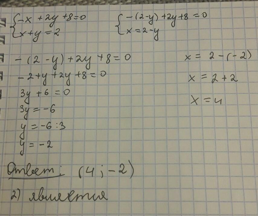
Является ли пара чисел (4;-2) решением системы:​

Приложения:

Ответы

Ответ дал: сок111213
0

Решение на фотографиях

1) нет

2) да

Приложения:
Ответ дал: MrHackFan
0
спасибо большое!
Вас заинтересует