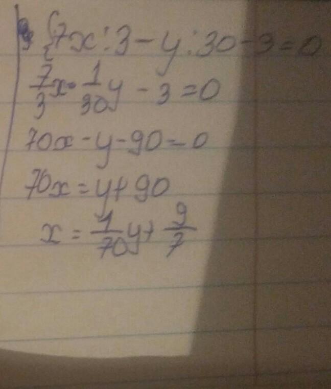
Решите системы уравнений способом постановки. 2) {x/4+y/8-2=0 {2x/9+y/6-1=0 4) 7x/3-y/30-3=0. Помогите пожалуйста даю 40 баллов
Ответы
Ответ дал:
0
вот так я очень старалась не знаю провда или нет
Приложения:
Вас заинтересует
2 года назад
2 года назад
3 года назад
3 года назад
9 лет назад
9 лет назад
10 лет назад