• Предмет: Алгебра
  • Автор: lololoshka7337
  • Вопрос задан 8 лет назад

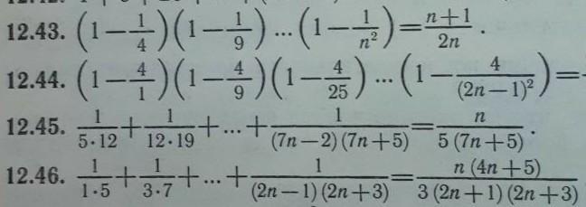
решить методом математической индукции.. только 12.45​

Приложения:

Ответы

Ответ дал: 7x8
0

frac{1}{5cdot12}+frac{1}{12cdot19}+...+frac{1}{(7n-2)(7n+5)}=frac{n}{5(7n+5)}

1.

n=1

frac{1}{5cdot12}=frac{1}{5cdot(7cdot1+5)}

frac{1}{5cdot12}=frac{1}{5cdot(7+5)}

frac{1}{5cdot12}=frac{1}{5cdot12}

2.

n=k

frac{1}{5cdot12}+frac{1}{12cdot19}+...+frac{1}{(7k-2)(7k+5)}=frac{k}{5(7k+5)}

3.

n=k+1

frac{1}{5cdot12}+frac{1}{12cdot19}+...+frac{1}{(7(k+1)-2)(7(k+1)+5)}=frac{1}{5cdot12}+frac{1}{12cdot19}+...+frac{1}{(7(k+1)-2)(7(k+1)+5)}=frac{k+1}{5(7(k+1)+5)}

frac{k}{5(7k+5)}+frac{1}{(7(k+1)-2)(7(k+1)+5)}=

frac{k}{5(7k+5)}+frac{1}{(7k+7-2)(7k+7+5)}=

frac{k}{5(7k+5)}+frac{1}{(7k+5)(7k+12)}=

frac{k(7k+12)}{5(7k+5)}+frac{5}{5(7k+5)(7k+12)}=

frac{7k^2+12k+5}{5(7k+5)(7k+12)}=

frac{7k^2+5k+7k+5}{5(7k+5)(7k+12)}=

frac{k(7k+5)+(7k+5)}{5(7k+5)(7k+12)}=

frac{(7k+5)(k+1)}{5(7k+5)(7k+12)}=

frac{k+1}{5(7k+12)}=

frac{k+1}{5(7k+7+5)}=

frac{k+1}{5(7(k+1)+5)}

Ответ дал: MyOnlyOneUlya
0
помогите
Ответ дал: MyOnlyOneUlya
0
пожалуйста последний вопрос
Вас заинтересует