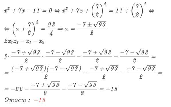
Известно, что x_1 и x_(2 ) – корни уравнения x^2+7x-11=0. Найдите значение выражения 2x_1 x_2-x_1-x_2.
Ответы
Ответ дал:
0
Ответ: -15.
Объяснение:
по теореме Виета
x₁ + x₂ = -7
x₁x₂ = -11
2x₁x₂ - x₁ - x₂ = 2x₁x₂ - (x₁ + x₂) = 2 · (-11) - (-7) = -15.
Ответ дал:
0
Ответ:
Объяснение:
..................................
Приложения:

Вас заинтересует
2 года назад
2 года назад
3 года назад
3 года назад
8 лет назад
9 лет назад