• Предмет: Алгебра
  • Автор: vladyau
  • Вопрос задан 8 лет назад

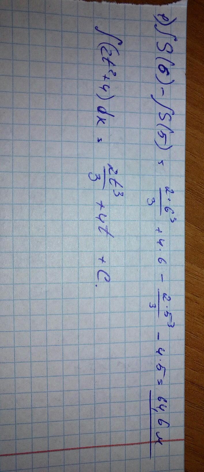
Найдите путь, пройденный точкой за пятую секунду, если V(t) = 2t^2 + 4 (м/с)
Напишите с решением пожалуйста!!

Ответы

Ответ дал: Роман1233212002
0

Данная задача решается через интегралы.(неопределенный интеграл).

Решение во вложении.

Приложения:
Вас заинтересует