• Предмет: Математика
  • Автор: oyatillohack
  • Вопрос задан 8 лет назад

29 помогите пожалуйста
Срочно

Приложения:

Ответы

Ответ дал: Correlation
0

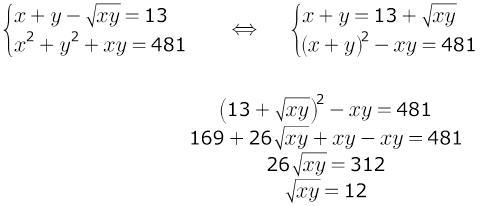
Ответ: 12.

Пошаговое объяснение:

Приложения:
Ответ дал: oyatillohack
0
А, как xy стал -xy ком ?
Ответ дал: Correlation
0
x^2 + y^2 + xy = x^2 + 2xy + y^2 - xy = (x+y)^2 - xy
Вас заинтересует