Ответы
Ответ дал:
0
Пошаговое объяснение:
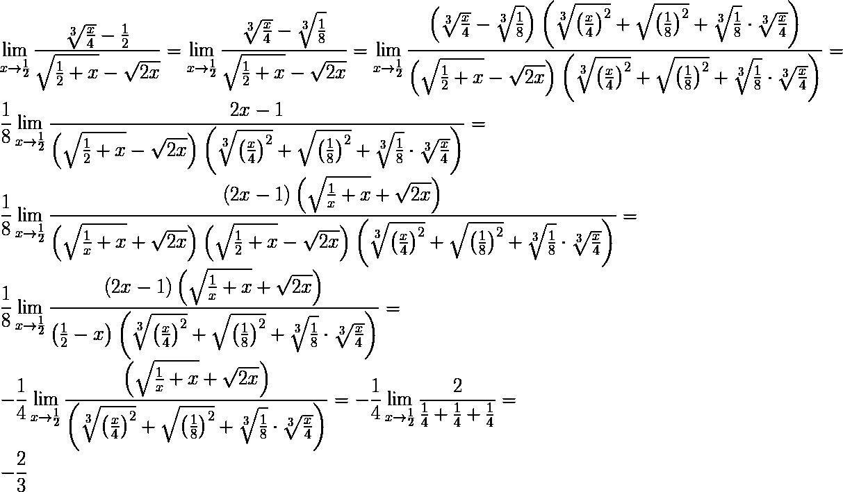
В первом пределе домножили на сопряженные выражения для получения разности кубов в числителе и разности квадратов в знаменателе.
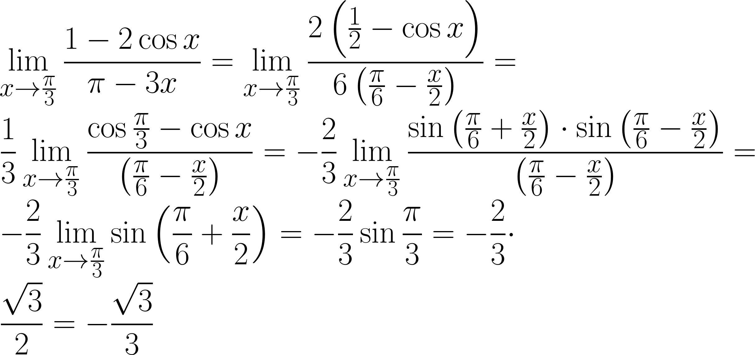
Во втором пределе использовали тригонометрические формулы и первый замечательный предел.
Приложения:


Вас заинтересует
2 года назад
3 года назад
3 года назад
8 лет назад
8 лет назад
9 лет назад