Ответы
Ответ дал:
0
Ответ:
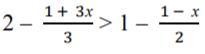
Объяснение:
!!!!!!!!!!!!!!!!!!!!!!!!!!!!
Приложения:

Вас заинтересует
2 года назад
2 года назад
3 года назад
9 лет назад