• Предмет: Математика
  • Автор: mansurovaalenaa
  • Вопрос задан 8 лет назад

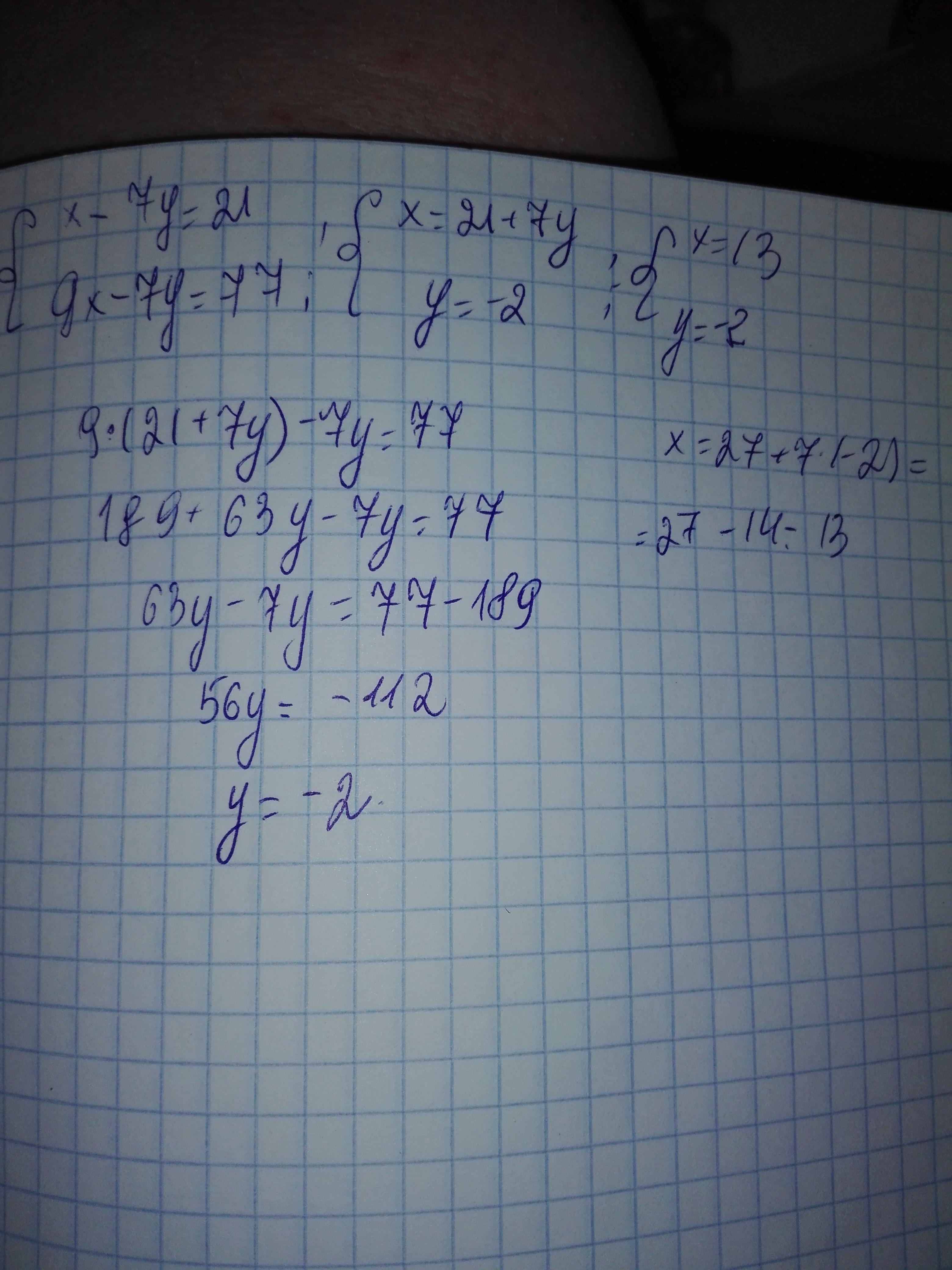
Решите систему уравнений методом подстановки: { x − 7 y = 21 9 x − 7 y = 77

Ответы

Ответ дал: violla8violla
0

Ответ:

Пошаговое объяснение:

Приложения:
Ответ дал: bir140928
0

1. Подставляем значение -7y в уравнение

2. Решаем его

3. Подставляем значение х в уравнение и решаем

Приложения:
Вас заинтересует