• Предмет: Алгебра
  • Автор: indira94
  • Вопрос задан 8 лет назад

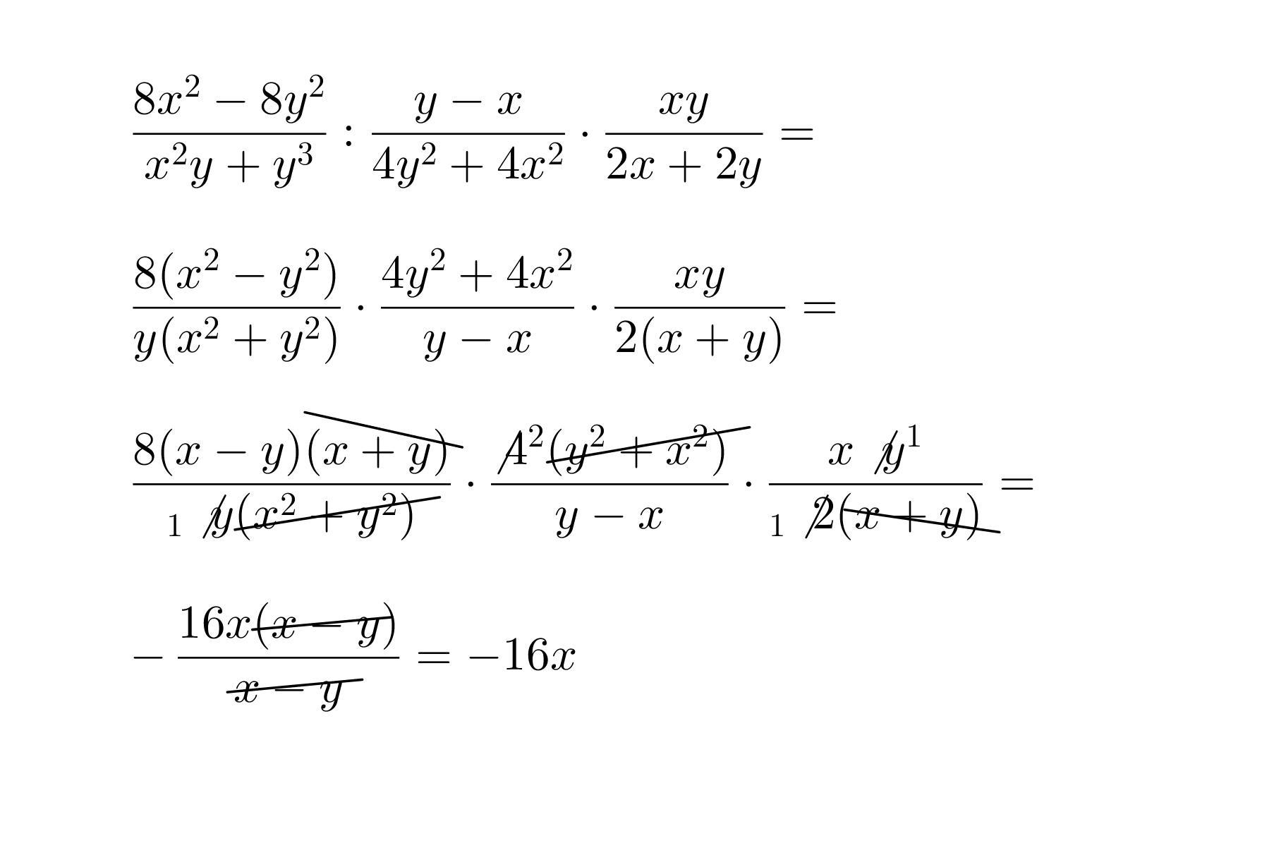
докажите тождество:​

Приложения:

Ответы

Ответ дал: 7x8
0

Ответ в файле

………………...........

Приложения:
Ответ дал: mantarin
0
https://znanija.com/task/32341821
Вас заинтересует