• Предмет: Алгебра
  • Автор: mcm21
  • Вопрос задан 8 лет назад

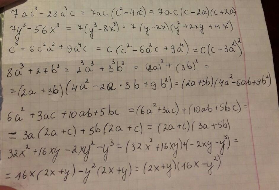
Разложи на множители:
7ас³- 28a³c=
7y³ -56x³ =
c³– 6с²а² + 9a⁴c=
8a³+ 27b³=
6а²+ Зас+ 10ab + 5bc=
32x² + 16xy – 2xy²-y³=

Ответы

Ответ дал: сок111213
0

Решение на фотографии .

Приложения:
Вас заинтересует