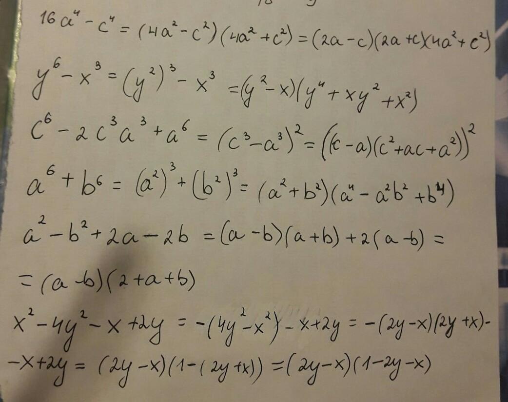
Разложи на множители
16а⁴ - с⁴=
у6-х³=
с6- 2с³a³+a6=. 6 это обозначение степени
a6+b6 =. 6 это обозначение степени
a²-b²+2a-2b=
x²-4y²-x+2y=
                        
                            
                            
                    Ответы
                                            Ответ дал: 
                                                                                    
                                        
                                            
                                                
                                                
                                                
                                                    0
                                                
                                            
                                        
                                    Решение на фотографии .
Приложения:
                    
                            Вас заинтересует
                
                        2 года назад
                    
                
                        2 года назад
                    
                
                        3 года назад
                    
                
                        3 года назад
                    
                
                        8 лет назад
                    
                
                        9 лет назад
                    
                
                        9 лет назад