• Предмет: Алгебра
  • Автор: dimatishhenko99
  • Вопрос задан 8 лет назад

Помогите пожалуйста, а то я не могу понять....

Приложения:

Ответы

Ответ дал: Maria201949
0

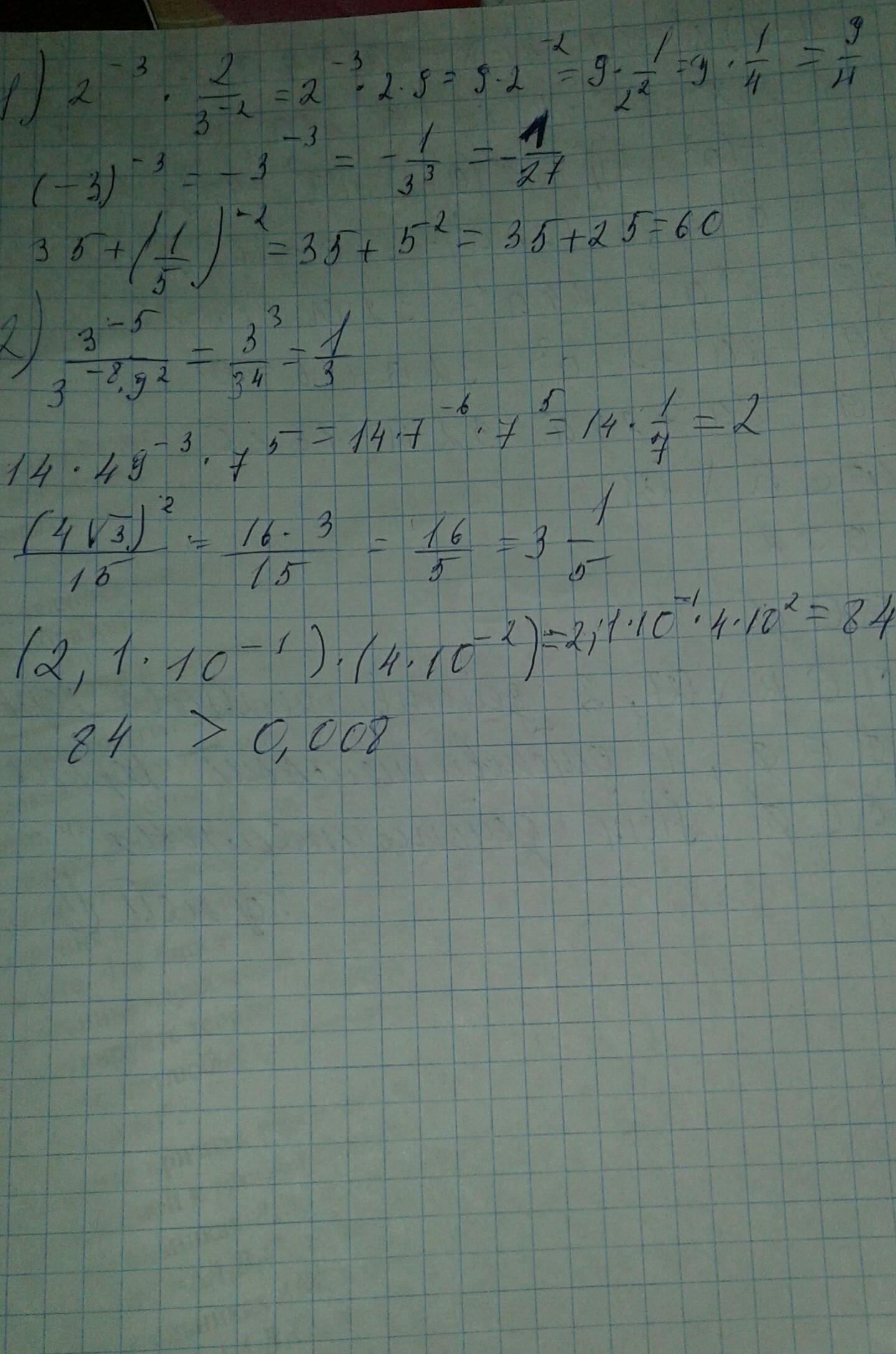
Ответ на рисунке...........

Приложения:
Ответ дал: filuksistersp735lh
0

Ответ:если показатель (-) то нужно перевернуть число если это дробь к примеру 1/2-² то будет просто 2² и наоборот

Объяснение:

Приложения:
Вас заинтересует