• Предмет: Математика
  • Автор: zheniagaripoff
  • Вопрос задан 8 лет назад

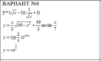
Решите пожалуйста, хотя бы парочку

Приложения:

Ответы

Ответ дал: lera936775
0

всё написано на фотографии.

аростите другие что-то как-то не получились. немного не поняла как из делать.

Приложения:
Вас заинтересует