• Предмет: Алгебра
  • Автор: mikkimaus00000
  • Вопрос задан 8 лет назад

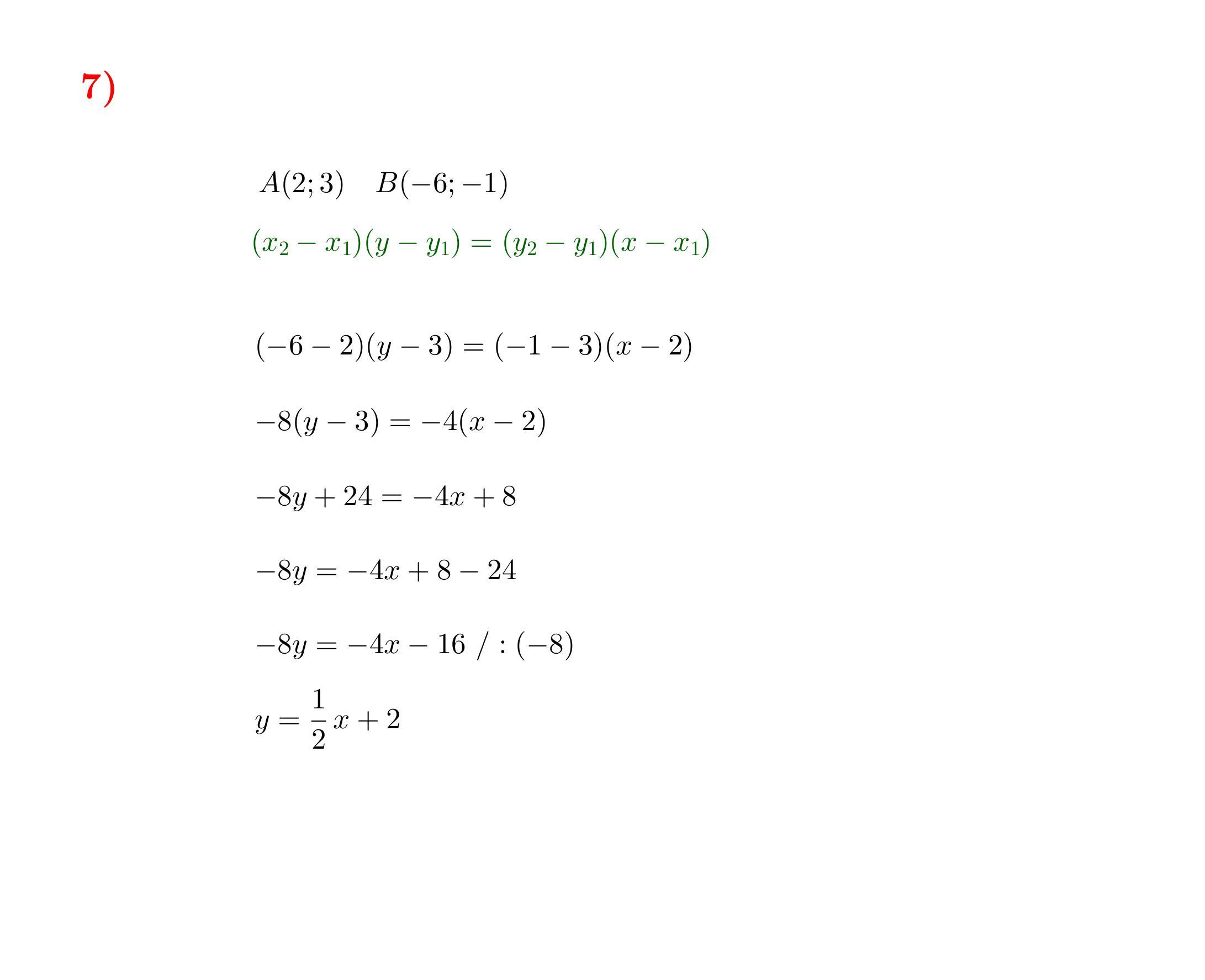
7 задание))))
можно и 8 )0)​

Приложения:

Ответы

Ответ дал: olares55
0

Ответ в файле

--------- ---------

Приложения:
Вас заинтересует