• Предмет: Математика
  • Автор: Slavik8932024
  • Вопрос задан 8 лет назад

Теорія ймовірностей. Допоможіть !!!

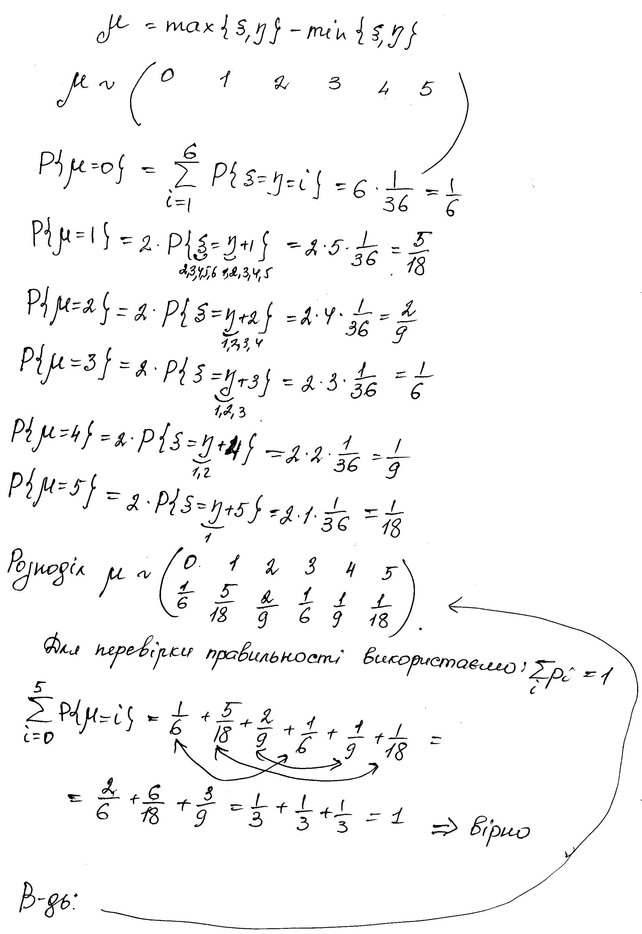
Підкидають пару симетричних гральних кубиків. Нехай ксі – число очок, що випали на першому кубику, ета – на другому. Знайти розподіл випадкової величини ню = max{ксі;ета}-min{ксі;ета}

Ответы

Ответ дал: Correlation
0

Ответ: фото.

Пошаговое объяснение:

Приложения:
Вас заинтересует