• Предмет: Математика
  • Автор: vvvvvvvgt
  • Вопрос задан 8 лет назад

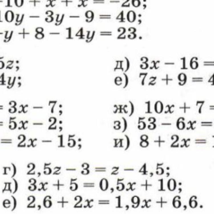
помогите решить линейные уравнения там
начало с 2,5

Приложения:

Ответы

Ответ дал: alena231092
0

2,5z-3=z-4,5

2,5z-z=-4,5+3

1,5z=-1,5

z=-1

Ответ дал: karelochka
0

Г) 2,5z+z=3-4,5

1,5z=-1,5

Z=-1

Д)3x-0,5x=10-5

2,5x=5

X=2

E)2x-1,9x=6,6-2,6

0,1x=4

X=40

Пояснение : решая линейное уравнения мы буквы переносим в одну часть, а цифры в другую. При переносе меняется знак

Вас заинтересует