• Предмет: Алгебра
  • Автор: mirorrorim
  • Вопрос задан 8 лет назад

Выразите k через m и h:

sqrt{k^2+h^2} +2k=m

Ответы

Ответ дал: moboqe
0

Нужно привести к квадратному уравнению и решить его относительно переменной k

sqrt{k^2+h^2}+2k=m \sqrt{k^2+h^2}=m-2k \

Теперь возведем обе части в квадрат:

displaystyle k^2+h^2=(m-2k)^2 \k^2+h^2=m^2-4mk+4k^2 \

И наконец решим уравнение относительно k:

displaystyle 3k^2-4mk+(m^2-h^2)=0\\D=16m^2-12cdot(m^2-h^2)=16m^2-12m^2+12h^2=4m^2+12h^2\\k_1={4m+sqrt{4m^2+12h^2}over6}={4m+2sqrt{m^2+3h^2}=over6}={2m+sqrt{m^2+3h^2}over3}\\k_2={4m-sqrt{4m^2+12h^2}over6}={4m-2sqrt{m^2+3h^2}=over6}={2m-sqrt{m^2+3h^2}over3}

Ответ дал: serjiof
0

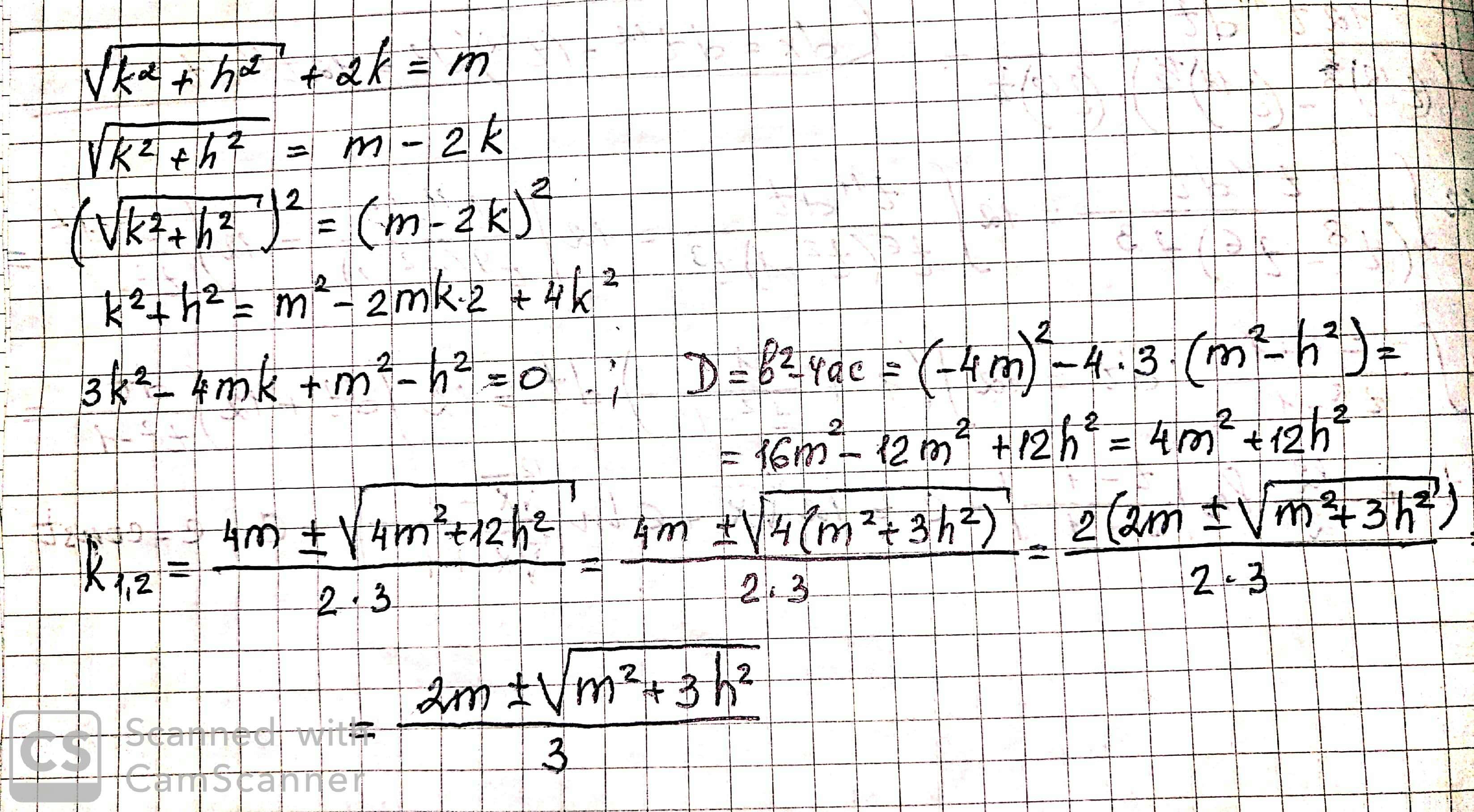
Ответ:

Объяснение: решение в файле

Приложения:
Вас заинтересует