• Предмет: Алгебра
  • Автор: yanatina
  • Вопрос задан 8 лет назад

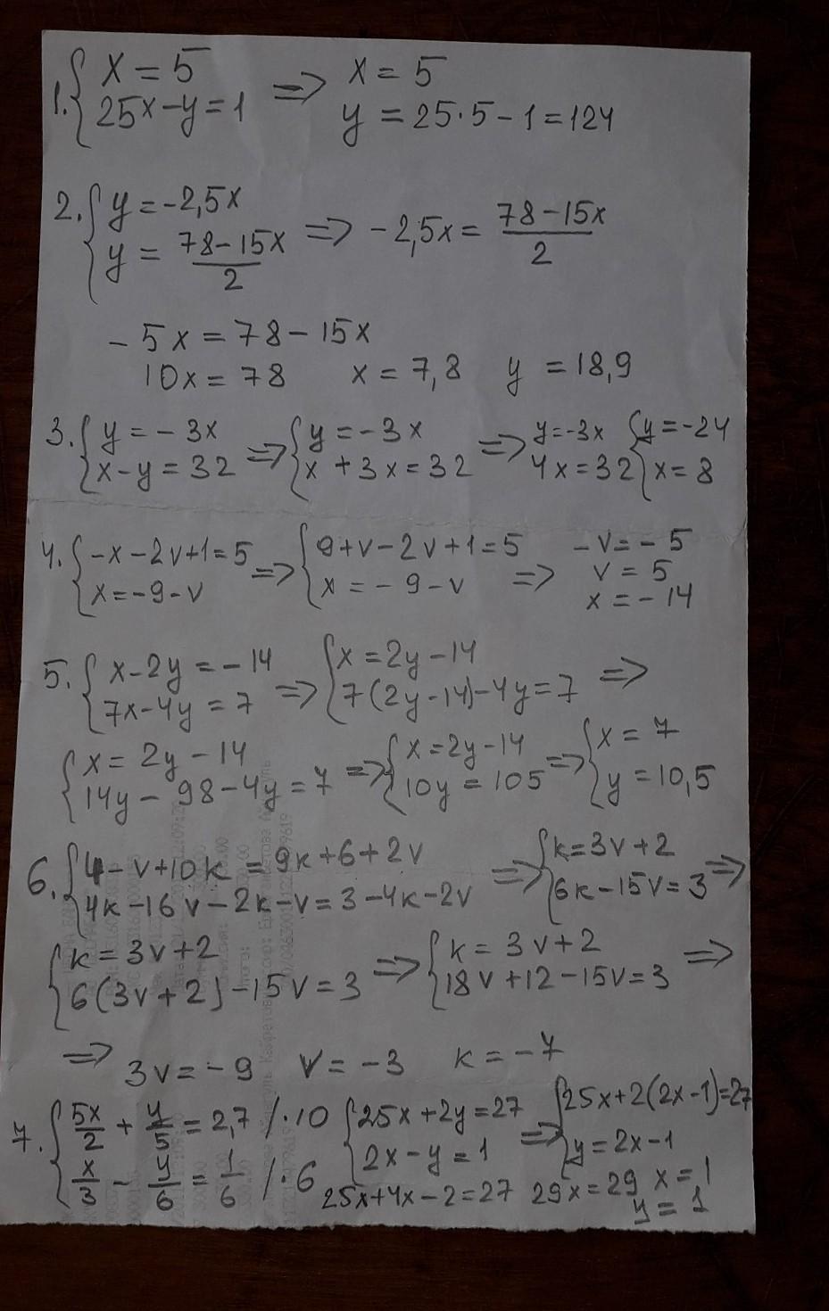
Даю 30 баллов 1)Реши систему:
{x=5
25x−y=11
Ответ: ....;....
2)Найди точку пересечения графиков, заданных формулами 15x+2y=78 и y=−2,5x без построения.
Ответ: ..;...
3)Реши систему уравнений методом подстановки:
{y=−3x
x−y=32
Ответ: ....;.....
4)Реши систему уравнений методом подстановки.
{−x−2v+1=5
x=−9−v

Ответ:
x=....
v=...
5)Реши систему уравнений методом подстановки:
{x−2y=−14
7x−4y=7

Ответ: ...;....
6)Реши систему уравнений методом подстановки.
{4−5(0,2v−2k)=3(3k+2)+2v
4(k−4v)−(2k+v)=3−2(2k+v)

Ответ:
k=
v=
7)Реши систему уравнений методом подстановки.
5x/2(дробь)+y/5(дробь)=2,7
x/3(дробь)−y/6(дробь)=1/6 (дробь)

Ответ:
x=...
y=...

Ответы

Ответ дал: diana2007alla
0

решение систем способом подстановки

Приложения:
Ответ дал: yanatina
0
Спасибо
Вас заинтересует