• Предмет: Математика
  • Автор: ievghienii03
  • Вопрос задан 8 лет назад

реши систему уравнения​

Приложения:

Ответы

Ответ дал: marzhanmaken11
0

Ответ:

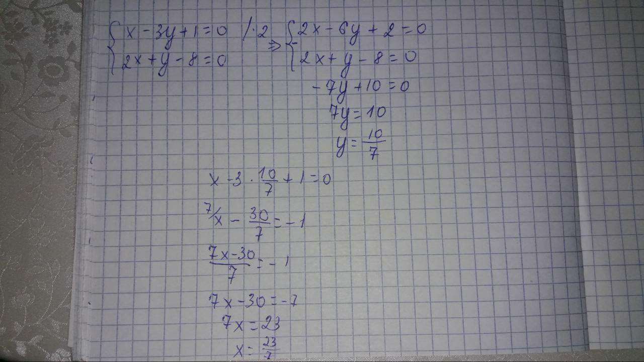
(23/7, 10/7)

Пошаговое объяснение:

Приложения:
Ответ дал: slavaskibenkop0w85q
0

Ответ: x = 3frac{2}{7}, y = 10/7

Пошаговое объяснение:

left { {{x-3y+1=0} atop {2x+y-8=0}} right.

left { {{x-3y=-1} atop {2x+y=8}} right.

Домножим первое уравнение на -2, и сложим два уравнения

left { {{-2x+6y=2} atop {2x+y=8}} right.

7y = 10

y = 10/7

Подставим значение y  в первое уравнение

x - 3*10/7 = -1

x - 30/7 = -1

x = -1 + 30/7

x = -1 +4frac{2}{7}

x = 3frac{2}{7}

Приложения:
Вас заинтересует