Ответы
Ответ дал:
0
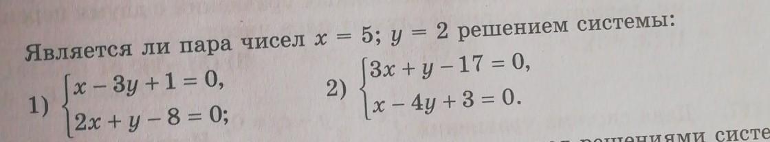
Решение на фотографии .
Ответ : пара чисел является решением только второй системы
Приложения:


Вас заинтересует
2 года назад
2 года назад
3 года назад
3 года назад
8 лет назад
8 лет назад
9 лет назад