Теорія ймовірностей, 50 балів!
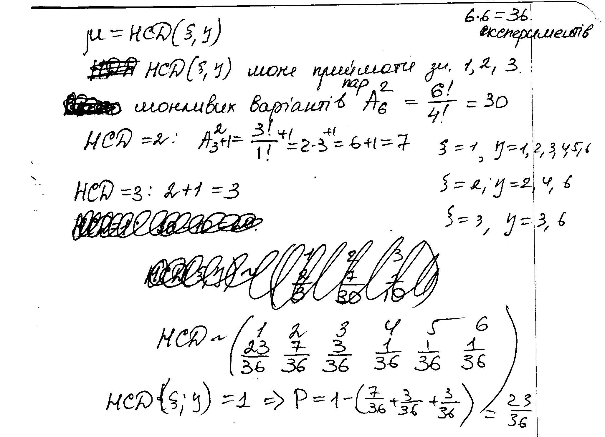
Підкидають пару симетричних гральних кубиків. Нехай ксі - число очок, що випали на першому кубику, ета - на другому. Знайти розподіл випадкової величини ню = НСД(ксі, ета) (НСД(p;q) - найбільший спільний дільник натральних чисел p і q)
Ответы
Ответ дал:
0
Ответ: фото.
Пошаговое объяснение:
Приложения:

Ответ дал:
0
Здравствуйте! Помогите пожалуйста решить предыдущую задачу про "щурів". Очень нужно. Зарание спасибо)
Вас заинтересует
3 года назад
8 лет назад
8 лет назад
9 лет назад