Ответы
Ответ дал:
0
Ответ:
Объяснение:
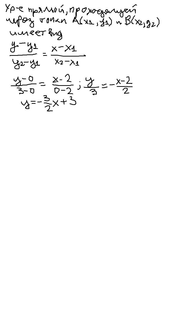
Решение в приложении
Приложения:

Ответ дал:
0
Ответ:
Объяснение:y=kx+b- общий вид ур-ия прямой
подставим координаты т.В(0;3) И НАЙДЕМ b
3=k·0+b⇒ b=3.
имеем у=kx+3,подставим коорд.т.А(2;0) И найдем k :
0=2k+3⇒k=-3/2
y=-1,5x+3
Приложения:

Вас заинтересует
2 года назад
3 года назад
3 года назад
8 лет назад
8 лет назад
9 лет назад