• Предмет: Математика
  • Автор: vikagoo
  • Вопрос задан 8 лет назад

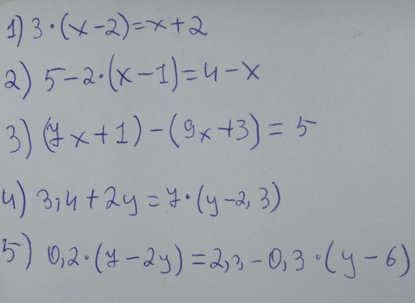
Решите,пожалуйста,уравнения)

Приложения:

Ответы

Ответ дал: rogekovalenko
0

Ответ:

Пошаговое объяснение:

1)3(x-2)=x+2

3x-6=x+2

3x-x=2+6

2x=8

x=8/2

x=4

Ответ дал: emil13075
0

1) 3(×-2)=×+2

3×-6=×+2

3×-×=2+6

2×=8

×=8/2

×=4

Приложения:
Вас заинтересует