• Предмет: Математика
  • Автор: angrycat66
  • Вопрос задан 8 лет назад

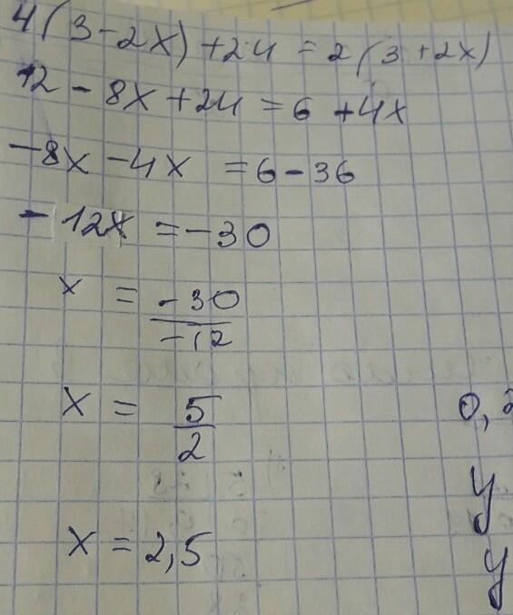
4•(3-2х)+24=2•(3+2х)
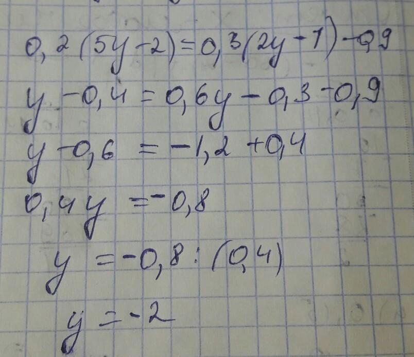
0,2•(5у-2)=0,3•(2у-1)-0,9
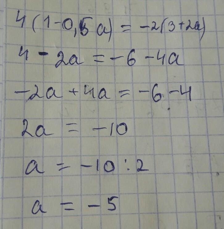
4•(1-0,5а)=-2•(3+2а)​

Ответы

Ответ дал: im0loser
0

1)Дано линейное уравнение:

4*(3-2*x)+24 = 2*(3+2*x)

Раскрываем скобочки в левой части ур-ния

4*3-4*2*x+24 = 2*(3+2*x)

Раскрываем скобочки в правой части ур-ния

4*3-4*2*x+24 = 2*3+2*2*x

Приводим подобные слагаемые в левой части ур-ния:

36 - 8*x = 2*3+2*2*x

Переносим свободные слагаемые (без x)

из левой части в правую, получим:

-8*x = -30 + 4*x

Переносим слагаемые с неизвестным x

из правой части в левую:

(-12)х= -30

Разделим обе части ур-ния на -12

x = -30 / (-12)

Получим ответ: x = 5/2

2)Дано линейное уравнение:

(1/5)*(5*y-2) = (3/10)*(2*y-1)-(9/10)

Раскрываем скобочки в левой части ур-ния

1/55*y-2 = (3/10)*(2*y-1)-(9/10)

Раскрываем скобочки в правой части ур-ния

1/55*y-2 = 3/102*y-1-9/10

Приводим подобные слагаемые в правой части ур-ния:

-2/5 + y = -6/5 + 3*y/5

Переносим свободные слагаемые (без y)

из левой части в правую, получим:

y=3y/5 - 4/5

Переносим слагаемые с неизвестным y

из правой части в левую:

2y/5= -4/5

Разделим обе части ур-ния на 2/5

y = -4/5 / (2/5)

Получим ответ: y = -2

3)Дано линейное уравнение:

4*(1-(1/2)*a) = -2*(3+2*a)

Раскрываем скобочки в левой части ур-ния

4*1+4*1/2a) = -2*(3+2*a)

Раскрываем скобочки в правой части ур-ния

4*1+4*1/2a) = -2*3-2*2*a

Переносим свободные слагаемые (без a)

из левой части в правую, получим:

-2*a = -10 - 4*a

Переносим слагаемые с неизвестным a

из правой части в левую:

2a= -10

Разделим обе части ур-ния на 2

a = -10 / (2)

Получим ответ: a = -5

Ответ дал: angrycat66
0
Пожалуйста
Ответ дал: im0loser
0
если нужно будет решить уравнения пиши сюда
Ответ дал: im0loser
0
я решу
Ответ дал: angrycat66
0
Хахахах
Ответ дал: angrycat66
0
Спасибо огромное:)
Ответ дал: сок111213
0

Решение на фотографиях

Приложения:
Ответ дал: angrycat66
0
Прости,но тот человек сделал первый эти уравнения.Надеюсь ты не обидешься если я выберу его ответ лучшим.Но всё равно огромное спасибо :>
Вас заинтересует