Ответы
Ответ дал:
0
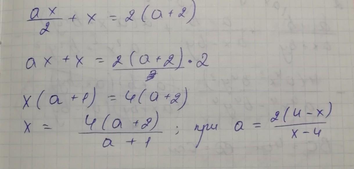
Ответь уравнения = 4(а+2)/а+1
Приложения:


Ответ дал:
0
а где что будет с выражением?
Ответ дал:
0
а это параметр
Ответ дал:
0
нужно решить основываясь на этом
Ответ дал:
0
исправь пожалуйста
Вас заинтересует
2 года назад
2 года назад
3 года назад
3 года назад
8 лет назад
8 лет назад