• Предмет: Химия
  • Автор: oliakotova12345
  • Вопрос задан 8 лет назад

Помогите пожалуйста,срочно))))
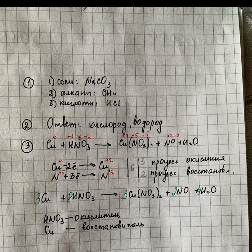
1)установите соответствие между классом/группой и формулой вещества
1)соли 1)CO
2)алканы 2)HCI
3)кислоты 3)NaCO3
4)CH4
2)из предложенного перечня выберити два вещества с каждым из которых взаимодействует сера
1)кислород 2)соляная кислота
3)водород 4)хлорид натрия
3)методом электронного балансарасставьте коэфициэнты и укажите окислительно востановительные реакции
Cu + HNO3= Cu (NO3)2 + NO + H2O

Ответы

Ответ дал: asijey15
0

Это только 2 задания

Приложения:
Ответ дал: nikilead
0

Вот решение на все 3 задания

Приложения:
Вас заинтересует