• Предмет: Алгебра
  • Автор: Bomjara228
  • Вопрос задан 8 лет назад

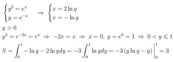
Вычислить площадь фигуры S, ограниченной линиями
left { {{y^2=e^{x} } atop {y=e^{-x} }} right.

Пожалуйста, с рисунком, заранее спасибо

Ответы

Ответ дал: dimaogol2000
0

Ответ:

Объяснение:

Решение снизу↓↓↓↓↓↓↓↓

Приложения:
Вас заинтересует