• Предмет: Алгебра
  • Автор: 149274
  • Вопрос задан 8 лет назад

решите
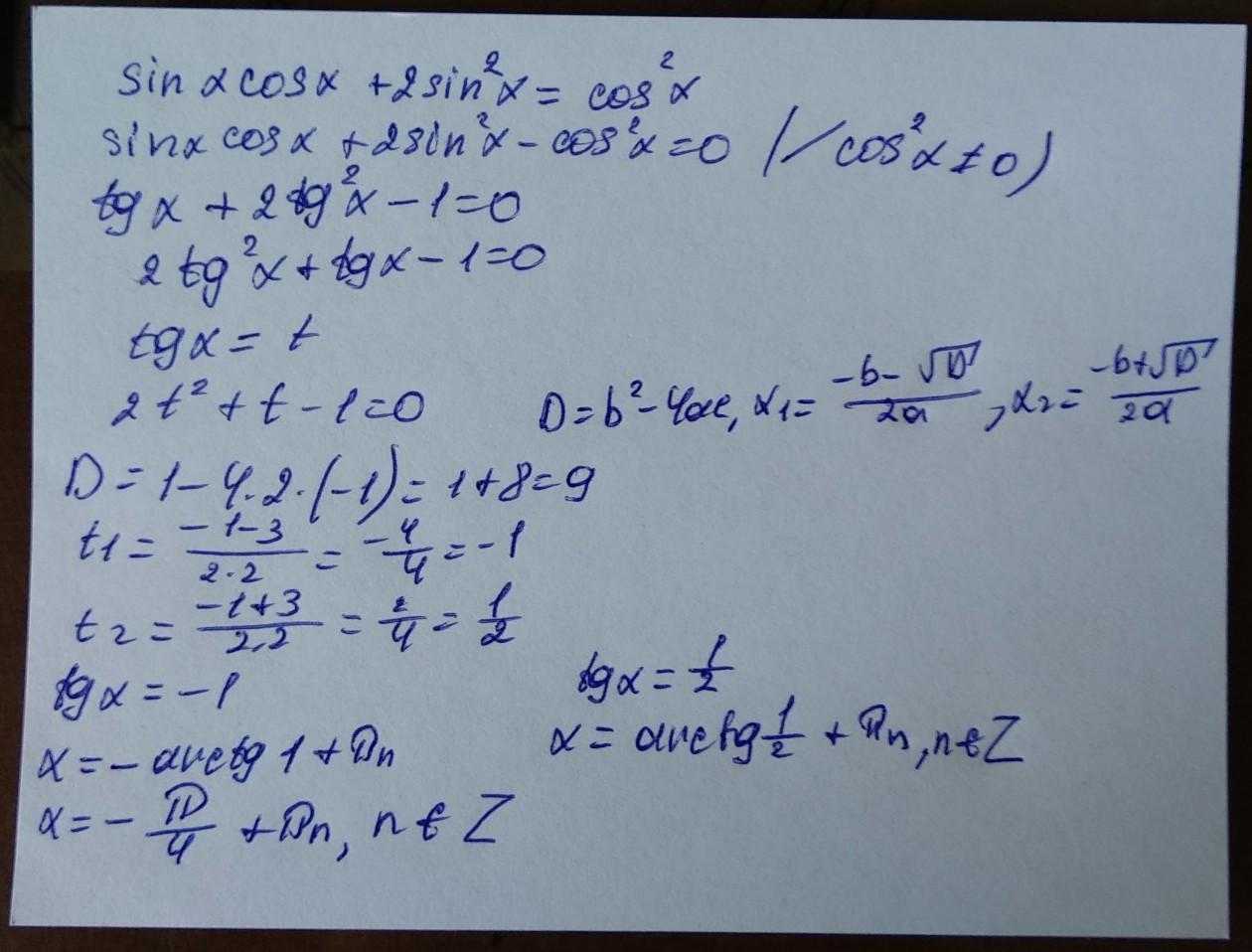
синус х* косинус х+2 синус квадратх=косинус квадрат х

Ответы

Ответ дал: akulama
0

sinx*cosx+2*sin^2 x=cos^2 x

Приложения:
Вас заинтересует