• Предмет: Физика
  • Автор: foreveryouung
  • Вопрос задан 8 лет назад

Помогите пожалуйста.9кл,физика #1Физикалык практикум есептеры.
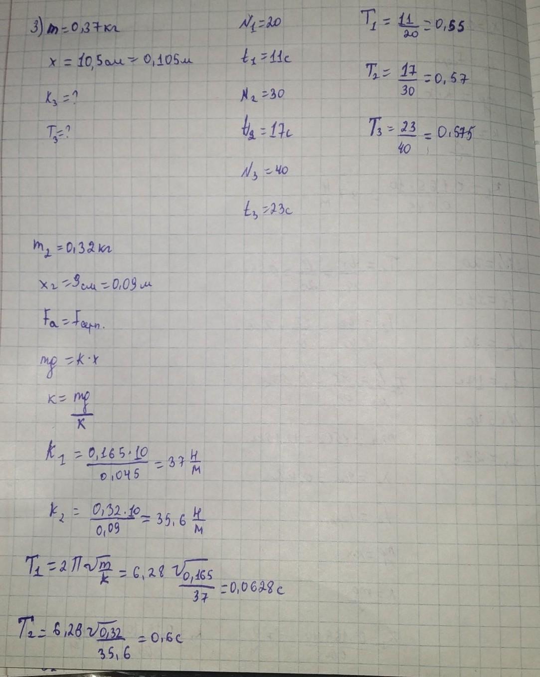
Т(орташа) = ? табу үшін кай Т1 Т2 Т3 ты пайдалану керек.Там их несколько.20баллов+отметка лучший ответ.​

Приложения:

Ответы

Ответ дал: tiffanyyoung
0
Эти Т1 Т2 не надо использовать)Т1 Т2 Т3 только
Приложения:
Ответ дал: foreveryouung
0
Екншысы ма?
Ответ дал: foreveryouung
0
ой,то есть 1ншысы? да?
Ответ дал: tiffanyyoung
0
Да
Ответ дал: foreveryouung
0
сэнкью
Ответ дал: tiffanyyoung
0
Не за что
Вас заинтересует