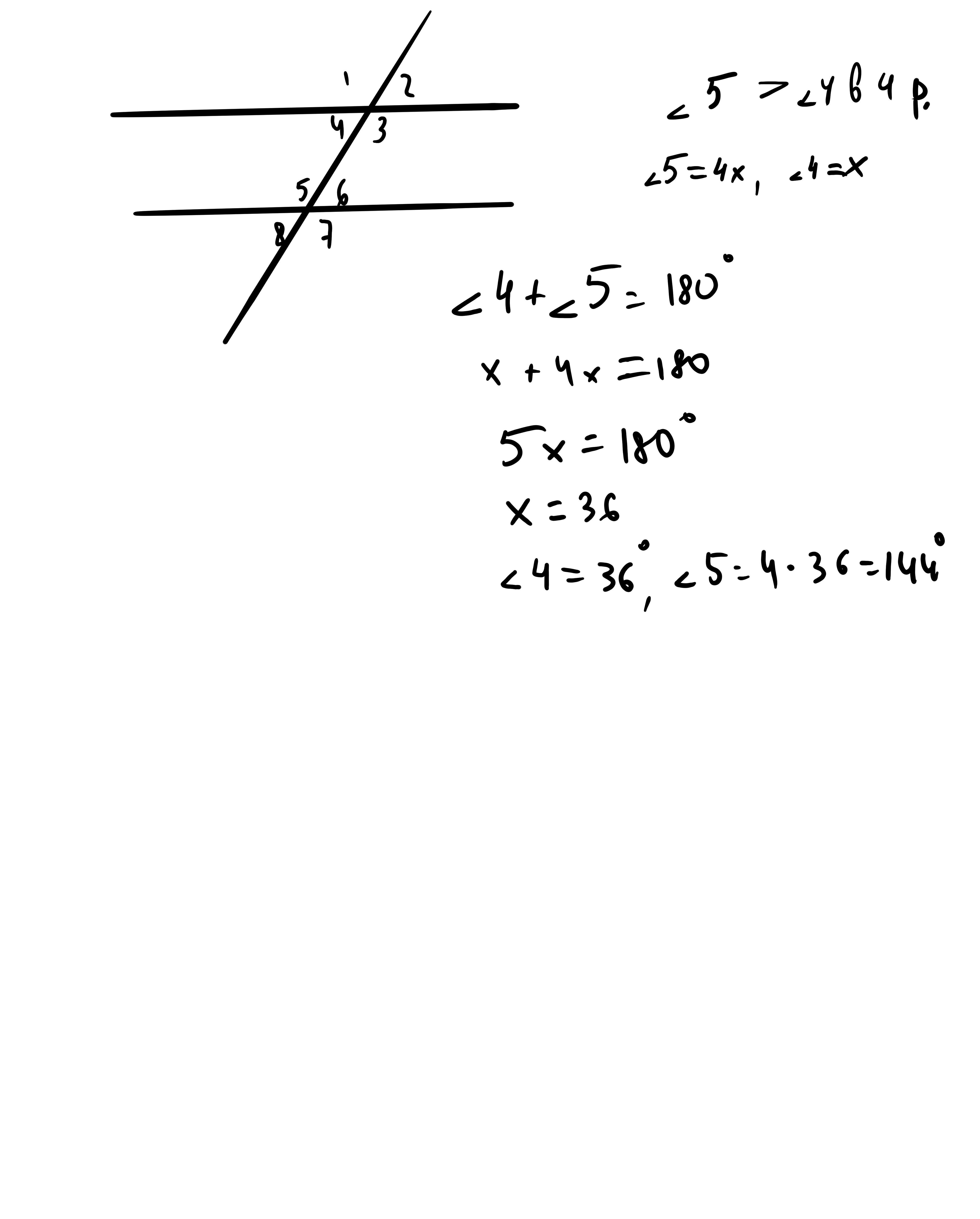
ДАЮ 30 БАЛЛОВ!!!!!!!!!!!!. Прямые a и b параллельны. Найдите ∠5 и ∠4, если один из них в 4 раза больше другого
Ответы
Ответ дал:
0
Ответ:Как-то так
Объяснение:
Приложения:

Вас заинтересует
2 года назад
2 года назад
3 года назад
3 года назад
8 лет назад
9 лет назад